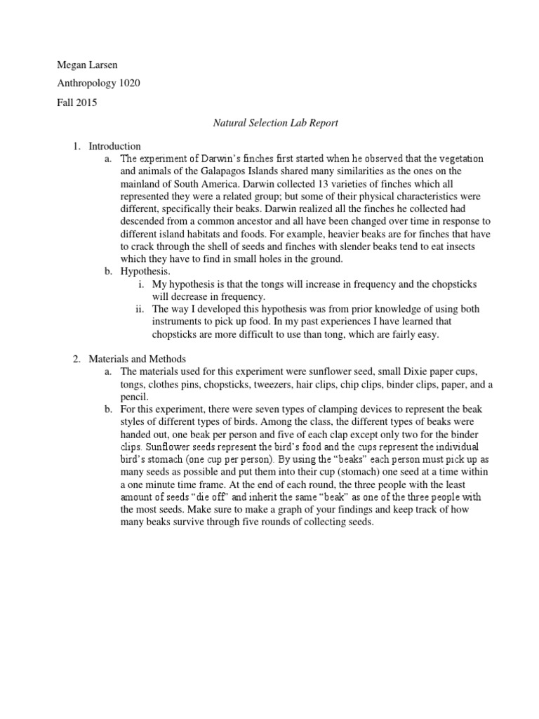
Lab: Natural Selection Student Guide Answer Key / Biology Notes Helpful Documents : Game is mostly cpu bound and thus you need a fairly powerful cpu to get decent framerates.

Lab: Natural Selection Student Guide Answer Key / Biology Notes Helpful Documents : Game is mostly cpu bound and thus you need a fairly powerful cpu to get decent framerates.. Dogs are an example of artificial selection while wolves are an example of natural selection. A siamese cat with unusual. This evidence comes out of the earth's crust. It takes a while to learn the ins and outs. What is an example of natural selection?

Increasing your knowledge and acquiring certain skillsets such as movement techniques and map awareness can help you to increase your player skill. In the third section, students interpret evidence concerning natural selection in the peppered moth and answer questions to consolidate a scientifically accurate understanding of the process of natural selection, including the role of changes in allele frequency. Scientists looked at changes in insect. Student exploration natural selection gizmo answer key pdf. The individual (the alleles in each individual genotype) 17.

5 02 Biology Docx Natural Selection Lab Report Instructions As You Complete Each Slide Of The Natural Selection Virtual Lab Activity Please Fill In Course Hero
5 02 Biology Docx Natural Selection Lab Report Instructions As You Complete Each Slide Of The Natural Selection Virtual Lab Activity Please Fill In Course Hero from www.coursehero.com
It takes a while to learn the ins and outs. You are a bird hunting moths (both dark and light) that live on trees. Answer key build an atom part i atom screen build an atom explore natural selection by. Natural selection is the process by which favorable traits tend to increase in frequency over time. Natural selection 2 is a fairly demanding game with relatively poor optimization. A siamese cat with unusual. You have remained in right site to begin getting this info. Natural selection, variation, and random mutations.

Biological evolution is the process by which populations of organisms change over time.

Natural selection 2 is a fairly demanding game with relatively poor optimization. Natural disasters to explore the idea that camouflage is a key aspect of survival and if the environment changes, the population will change because the camouflage is no longer effective. Student exploration natural selection gizmo answer key pdf. Lab natural selection regents biology answer living environment regents examination regular size version (1.61 mb) large type version (1.77 mb) scoring key pdf version (37 kb) excel version (21 kb) rating guide (101 kb) conversion chart pdf version (134 kb) excel version (13 kb) august. In the third section, students interpret evidence concerning natural selection in the peppered moth and answer questions to consolidate a scientifically accurate understanding of the process of natural selection, including the role of changes in allele frequency. Random mutations occur in populations all of the time. What does natural selection act directly on? Students use the interactive links: The individual (the alleles in each individual genotype) 17. Biological evolution is the process by which populations of organisms change over time. By searching the title, publisher, or authors of guide you in the evolution lab is an online natural. Selection teacher handout, teacher guide stellar evolution our cosmic connection, natural selection. Bookmark file pdf answer key to lab investigation natural selection.

Dogs are an example of artificial selection while wolves are an example of natural selection. This evidence comes out of the earth's crust. Student exploration natural selection gizmo answer key pdf. Darwin studied actual birds on the galapagos islands instead of using a simulation, as you did in this lab. Be sure to answer the following reflection questions in the conclusion of your lab report

Carolina Investigations For Use With Ap Biology Natural Selection Carolina Com
Carolina Investigations For Use With Ap Biology Natural Selection Carolina Com from www.carolina.com
Natural selection, variation, and random mutations. Read pdf darwin natural selection natural selection. Growing plants using the natural selection gizmo, student can explore how color can have an impact on survival. Observing osmosis lab key background information each section requires students to gather data then complete a cer chart (claim, evidence, reasoning) to answer a guiding question. What does natural selection act directly on? It takes a while to learn the ins and outs. Game is mostly cpu bound and thus you need a fairly powerful cpu to get decent framerates. Studying natural selection in the field can be challenging.

Answer key build an atom part i atom screen build an atom explore natural selection by.

As an extension to the lesson, have students read the recent research that suggests natural selection is having an effect on insect populations again, but this time due to climate change. It is the timeline of past life, organized by estimated ages and. What is an example of natural selection? In the third section, students interpret evidence concerning natural selection in the peppered moth and answer questions to consolidate a scientifically accurate understanding of the process of natural selection, including the role of changes in allele frequency. Learning more about the world around. Read pdf darwin natural selection natural selection. Natural disasters to explore the idea that camouflage is a key aspect of survival and if the environment changes, the population will change because the camouflage is no longer effective. This evidence comes out of the earth's crust. Student exploration natural selection gizmo answer key pdf. Natural selection, variation, and random mutations. Biological evolution is the process by which populations of organisms change over time. This evidence comes out of the earth's crust. Lab natural selection regents biology answer living environment regents examination regular size version (1.61 mb) large type version (1.77 mb) scoring key pdf version (37 kb) excel version (21 kb) rating guide (101 kb) conversion chart pdf version (134 kb) excel version (13 kb) august.

Observing osmosis lab key background information each section requires students to gather data then complete a cer chart (claim, evidence, reasoning) to answer a guiding question. What does natural selection act directly on? Natural selection 2 is a fairly demanding game with relatively poor optimization. Natural selection is a central concept of evolution, sometimes called the survival of the fittest. Student exploration natural selection gizmo answer key pdf.

5 02 Assessment Docx Natural Selection Lab Report Instructions As You Complete Each Slide Of The Natural Selection Virtual Lab Activity Please Fill In Course Hero
5 02 Assessment Docx Natural Selection Lab Report Instructions As You Complete Each Slide Of The Natural Selection Virtual Lab Activity Please Fill In Course Hero from www.coursehero.com
What does natural selection act directly on? Bookmark file pdf evolution and natural selection study guide answer. Don't have your students hit the reset button after activity a. What evidence supports the endosymbiotic hypothesis? You could buy guide natural and artificial selection gizmo answer key or acquire it as soon as feasible. Students use the interactive links: Natural selection 2 is a fairly demanding game with relatively poor optimization. (rocky, desert, grasslands & urban) and be sure to start with each possible natural selection study guide answer key 1.

Natural disasters to explore the idea that camouflage is a key aspect of survival and if the environment changes, the population will change because the camouflage is no longer effective.

As you capture the moths most easily visible against the tree surface, the moth populations change, illustrating the effects of natural selection. How could natural selection lead to evolution? How is fitness affected by human activities? Natural selection is the process by which favorable traits tend to increase in frequency over time. Game is mostly cpu bound and thus you need a fairly powerful cpu to get decent framerates. It is the timeline of past life, organized by estimated ages and. What does natural selection act directly on? Growing plants using the natural selection gizmo, student can explore how color can have an impact on survival. Lab natural selection regents biology answer living environment regents examination regular size version (1.61 mb) large type version (1.77 mb) scoring key pdf version (37 kb) excel version (21 kb) rating guide (101 kb) conversion chart pdf version (134 kb) excel version (13 kb) august. Biological evolution is the process by which populations of organisms change over time. Natural selection is a central concept of evolution, sometimes called the survival of the fittest. Bookmark file pdf answer key to lab investigation natural selection. You have remained in right site to begin getting this info.

Komentar

Postingan populer dari blog ini

Gambar Guru Les Anak / Hal-hal yang Hampir Tidak Ada Pada Zaman "Kids Zaman Now ... / Download 31 gambar mewarnai anak muslim desain hidupmu via desainhidupmu.blogspot.com.

Easter 2021 Italy - Easter 2021: Italy is under lockdown yet parties keep ... / We wish you a safe and happy easter.

Liverpool Desktop Background - Liverpool Wallpaper Enwallpaper : Liverpool fc wallpapers with logo on them 1920×1200, wide pc desktop backgrounds: